dev_eun
[UNIX] ② 파일(file) system call, standard I/O 본문
1. 파일(File)
데이터를 위한 컨테이너
- 일련의 바이트
- no format
- 디스크 파일에서 각 바이트는 개별적으로 주소로 접근 가능
- 외부 장치에 대해 균일한 인터페이스파일 시스템(File System)컴퓨터 파일과 데이터를 저장하고 체계화하는 방식
- 파일을 검색하고 접근하기 쉽다.
- 데이터 저장 장치에 사용된다(하드 디스크, CD-ROM).
파일 시스템에 접근하는 구조

2. UNIX file access primitevs
UNIX primitives(유닉스 기본 요소)
| 이름 | 설명 |
|---|---|
open |
파일이 없으면 생성하고 파일을 열어 파일을 읽기, 쓰기 |
create |
빈 파일 생성 |
close |
연 파일 닫기 |
read |
파일로부터 정보를 추출 |
write |
파일의 정보를 입력 |
lseek |
파일에서 읽고 쓰는 offset 변경 |
unlink |
파일 삭제 |
remove |
파일 삭제 |
fcntl |
파일과 관련된 속성 제어 |
fcntl을 제외한 모든 함수는 Unbufferd I/O가 제공하고, file descriptor로 작동한다.
File Descriptor
- 주민등록번호 같은 파일의 번호
- 양수
- 커널에서 열러 있는 모든 파일은
file descriptor에 의해 참조된다. - 새 파일을 생성하거나 존재하는 파일을 열게 되면, 커널은 프로세스에게 file descriptor를 리턴한다.
- 유닉스 쉘에 의해 생성된 각 프로세스는 터미널과 관련된 세 개의 파일과 함께 시작된다.
| file descriptor | symbolic constant | describe |
|---|---|---|
| 0 | STDIN_FILENO | Standard input(keyboard) |
| 1 | STDOUT_FILENO | Standard output(monitor) |
| 2 | STDERR_FILENO | Standard error |
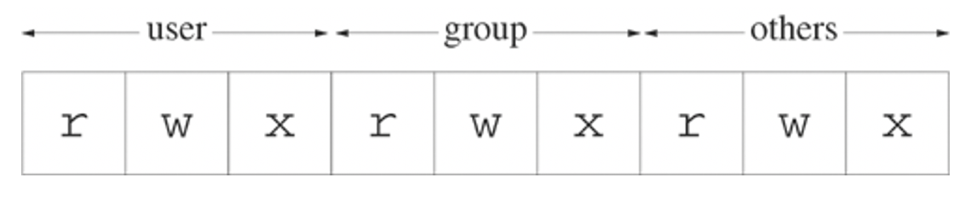
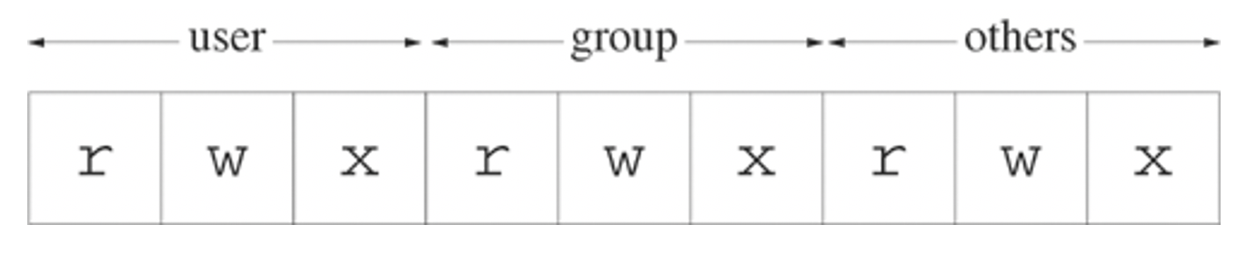
- 0부터 2까지는 예약되어 있기 때문에 파일의 descriptor는 3부터 시작한다.File permissions9개의 bits로 표현

| alphabet | binary bit | desc |
|---|---|---|
| r | 100 | 읽기 권한 |
| w | 010 | 쓰기 권한 |
| x | 001 | 실행 권한 |
// 같은 코드
fd = creat("/tmp/newfile", 0644);
fd = open("/tmp/newfile", O_WRONLY|O_CREAT|O_TRUNC, 0644);
Owner and permission of a new file
open혹은creat으로 파일을 생성할 경우- 새로운 링크를 추가하는 것이기 때문에 상위 디렉토리의 쓰기 권한이 필요하다.
- 디렉토리는 파일 리스트를 포함하는 하나의 파일일 뿐이다.
- 디렉토리 안에 파일을 쓸 수 있는 권한이 필요하다.
- 누가 소유하나?
- owner는 프로세스의 effective user-ID로부터 세팅된다.
- group은 상위 디렉토리의 group-ID 혹은 effective group 중 하나로 세팅된다.
File Share
- 모든 프로세스는 process table 안에 엔트리를 가지고 있다.
- 프로세스 테이블 엔트리는 open한 파일 descriptor의 테이블을 가지고 있다.

-
process table entry
-
index 0~2까지는 예약
name desc file descriptor flag file 사용중이면 1, 아니면 0 file table entry 포인터 file table을 가리키는 포인터
-
|index|name|
|---|---|
|0|std in|
|1|std out|
|2|std err|
|3 ~ |file table entry pointer|file table을 가리키는 포인터|
-
file table
name desc file flag file status flag offset 어디까지 읽고 썼는지 포지션 정보 v-node 포인터 실제 파일의 v-node table을 가리키는 포인터 -
v-node table
name desc v-node information i-node information 유니크한 정보, 파일이 몇 번째 block에 있나 current file size -
프로세스마다 같은 파일의 다른 file table을 생성할 수 있지만, v-node table은 파일마다 유니크하다.
3. std input, std output, std error
Redirection
-
표준 입력 변경
$ prog_name < infile'<' 입력하게 되면 표준 입력 방식이 키보드에서 파일로 변경됨
dup2(infile, 0); // 0 : standard input -> keyboard -
표준 출력 변경
$ prog_name > outfile'>' 입력하게 되면 표준 출력 방식이 모니터에서 파일로 변경됨
dup2(outfile, 1); // 1 : standard output -> monitor
4. Std I/O library
- UNIX I/O (system call)
- 간단한 바이트열 형식으로만 데이터를 다룬다.
- 모든 것이 프로그래머에 의해 결정된다.
- Standard I/O
- automatic buffering
- 프로그래머 친화적 인터페이스
- 라이브러리를 쉽게 사용하게 해줌
- std I/O와 UNIX I/O의 차이
- 파일을 describe 하는 방법
- std I/O는
FILE* - UNIX I/O는 file descriptor
- system call 함수에 f 붙이면 library routine
fopen,fclose,fread,fwrite등...
Buffering

- system call의 비효율성을 지양
- block 단위로 읽어와 버퍼에 저장한 후 다시 block을 읽고 버퍼에 저장하는 것(system call 방식)이 아닌, 버퍼에 저장 된 그 다음 바이트를 읽음
5. errno 변수
에러 핸들링
- 에러가 발생할 경우
- -1이 리턴, 아닌 경우 0 리턴
- errno.h에 errno 정의, 모두 E 로 시작함
- 시스템 콜 중에 발생한 에러 중 마지막 타입을 errno에 저장
- 전역으로 접근 가능한 integer 변수
- 새로운 시스템 콜에서 에러가 없는 경우인데도, errno는 리셋되지 않음
- 에러발생 직후에는 errno를 초기화해줘야 함
System call
open()
int open(const char* pathname, int flags, mode_t mode);
| status | return value |
|---|---|
| success | file descriptor |
| error | -1 |
-
flags
O_RDONLY | O_WRONLY == O_WRONLY이기 때문에O_RDWR있어야 함flags bit desc O_RDONLY00 only 읽기 O_WRONLY01 only 쓰기 O_RDWR11 읽기와 쓰기 -
optional flag
optional flags desc O_APPEND파일의 끝에서부터 이어 쓰기 O_CREAT파일이 없으면 생성한 후 쓰기, 존재하면 처음부터 덮어 쓰기 O_EXCL파일이 존재하면 에러 O_TRUNC파일이 존재하면 데이터를 삭제한 후 새로 쓰기 O_NONBLOCKblocking 없이 파일 열기 -
mode
O_CREAT일 경우에만 사용// 예시 fd = open('./file', O_WRONLY|O_CREAT, 0644);
create()
- 파일 생성의 다른 방법
- 파일이 이미 존재하면 두 번째 인자는 무시
open과 다르게, file descriptor를 리턴하기 전에 존재하는 파일을 항상 삭제creat는 writing only로 파일을 오픈한다.
int creat(const char* pathname, mode_t mode);
| status | return value |
|---|---|
| success | file descriptor |
| error | -1 |
close()
- 오픈된 파일을 닫는다.
- 혼돈을 방지하기 위해, 모든 파일은 프로그램이 실행을 완료하게 되면 자동으로 닫힌다.
-> 프로세스 테이블 날아감
int close(int filedes);
| status | return value |
|---|---|
| success | 0 |
| error | -1 |
read()
- 파일을 읽으면 현재 파일 위치에서 메모리로 바이트가 복사된 후 파일 포지션이 업데이트된다.
ssize_t read(int filedes, void *buffer, size_t n);
| status | return value |
|---|---|
| success | number of bytes read |
| end of file | 0 |
| error | -1 |
- arguments
name desc filedes file descriptor buffer 데이터가 복사될 구조체 혹은 포인터 n 파일로부터 읽을 바이트의 수

- file descriptor table에서 file table로 직접 접근 가능
- file table에서 file descriptor로 직접 접근 불가능하고 system call을 이용해서 간접접근만 가능
- parent-child 관계이면 file table 공유 가능 -> file table의 count르 올라감
- 같은 파일이라도 open할 때마다 file table 새로 생성
write()
- 파일을 쓰면 메모리에서 현재 파일 위치로 바이트가 복사된 후 파일 포지션이 업데이트된다.
- 이미 존재하는 파일을 쓰기위해 오픈을 하게 되면, 파일은 덮어 써진다.
O_APPEND옵션을 이용하여 파일을 오픈하였을 경우, 파일의 오프셋은 현재 파일의 EOF이다.
ssize_t write(int filedes, const void* buffer, size_t n);
| status | return value |
|---|---|
| success | number of bytes written |
| error | -1 |
- argument
name desc filedes file descriptor buffer 쓰여질 데이터가 있는 포인터 n 쓰여질 바이트의 수
read, write 효율성
- 버퍼 사이즈가 커지면 퍼포먼스가 개선된다.
- 제일 좋은 퍼포먼스는 디스크 블락 단위의 버퍼일 때
- 시스템 콜은 프로그램과 커널의 모드를 바꾸는 것이기 때문에 상대적으로 비용이 많이 든다.
- ❓
write시스템 콜이 빠른 이유write을 호출할 때, 커널에 있는 버퍼 캐시에 데이터를 쓴 후 리턴한다.- 디스크에 에러가 있거나 커널이 멈춘 경우 데이터가 날아갈 수 있다.

lseek()
- 파일의 offset은
lseek호출로 세팅된다. - offset 이란❓
- 다음
read혹은write가 어디서 시작해야 하는지 체크해놓은, 레귤러 파일의 위치이다.
- 다음
off_t lseek(int filedes, off_t offset, int start_flag)
| status | return value |
|---|---|
| success | new file offset |
| error | -1 |
-
arguments
name desc filedes file descriptor offset start_flag로부터의 바이트 수start_flag 시작 위치 - start_flag
start_flag bit SEEK_SET 0 SEEK_CUR 1 SEEK_END 2
- start_flag
-
사용 방법

- 맨 끝에서부터 16바이트 앞
- 이어 쓰기(O_APPEND)
- file size 알아내기
-
file hole

- 파일을 쓰다가 offset을 뒤로 옮기면 그 사이는 null로 채워진다.
- 사이즈는 offset을 옮긴 후 쓴만큼 커진다.
dup() and dup2()
- 존재하는 file descriptor를 복사한다.
dup()은 새로운 descriptor가 생성dup2()는 기존 descriptor가 다른 descriptor로 변경
int dup(int filedes);
int dup2(int filedes, int filedes2);
| status | return value |
|---|---|
| success | new file descriptor |
| error | -1 |
fcntl()
- 이미 열려 있는 파일의 속성을 변경할 수 있다.
int fcntl(int filedes, int cmd, ...);
| status | return value |
|---|---|
| success | depends on cmd |
| error | -1 |
-
arguments
name desc filedes file descriptor cmd cmd paramter 값 -
cmd parameter
name desc F_DUPED 존재하는 descriptor을 복제 F_GETFD , F_SETFD descriptor flag를 get/set F_GETFL , F_SETFL status flag를 get/set F_GETOWN , F_SETWON 비동기 I/O 소유자를 get/set F_GETLK , G_SETLK , G_SETLKW 레코드 lock을 get/set
Standard I/O library
fopen()
FILE* fopen(const char* restrict pathname, const char* restrict type);
| status | return value |
|---|---|
| success | file pointer |
| error | -1 |
- arguments
name desc rrb읽기 wwb파일이 없으면 생성하고 쓰기, 있으면 삭제하고 다시 쓰기 aab파일이 없으면 생성하고 쓰기, 있으면 이어서 쓰기 r+r+brb+읽기와 쓰기 w+w+bwb+파일이 없으면 생성하고 읽기와 쓰기, 있으면 삭제하고 읽기와 쓰기 a+a+bab+파일이 없으면 생성하고 읽기와 쓰기, 있으면 이어서 읽기와 쓰기
getc()
int getc(FILE* istream);
| status | return value |
|---|---|
| success | next character |
| error | EOF or error |
putc()
int putc(FILE* istream);
| status | return value |
|---|---|
| success | c |
| error | EOF |
fprintf()
int fprintf(FILE* restrict fp, const char* restrict format, ...);
| status | return value |
|---|---|
| success | number of characters |
| error | -1 |
728x90
'학교 > 유닉스 프로그래밍' 카테고리의 다른 글
| [UNIX] ⑥ signal (0) | 2020.12.09 |
|---|---|
| [UNIX] ⑤ 프로세스(Process) (0) | 2020.12.08 |
| [UNIX] ④ 디렉토리(directory) (0) | 2020.12.08 |
| [UNIX] ③ 파일(file) ownership, permission (0) | 2020.12.08 |
| [UNIX] ① 유닉스 기초 개념과 용어 (0) | 2020.12.08 |